当前位置:首页> 歌单 >赣州新鲜事自媒体荣登赣州新媒体影响力排行榜~

赣州新鲜事自媒体荣登赣州新媒体影响力排行榜~

2023-05-10 14:56:27


导读

南日报联合清华大学新闻研究中心权威发布赣州新媒体影响力排行榜,收纳赣州境内2000余个微信公众号进行排榜,快来看看哪个公号的小编最卖力,哪个公号的作品最好看吧!



州新媒体影响力一周排行榜

(1.11-1.17)





合榜Top10





务榜Top5





活榜Top5





育榜Top5



游榜Top5



康榜Top5




榜单说明

▼本榜单数据由清华大学@新媒沈阳 团队提供支持,更多信息请关注新媒体指数大数据平台inm.xuetang.cn。


▼文章发布时段:2015年1月11日0点—1月17日24点。今日榜单共收录账号3504个,数据收集时间:2015年1月19日15点。


微信传播指数WCI:通过微信公众号推送文章的传播度、覆盖度及账号的成熟度和影响力,来反映微信整体热度和公众号的发展走势。

发布分别是指统计周期内的发布次数和篇数,总阅读数是指统计周期内所有发布内容的阅读数总和,平均是指统计周期内所有发布内容的阅读数平均值,总点赞数是指统计周期内所有发布内容的点赞数总和。若有数据显示为“XXX”,则表示该篇文章内容无法查看。


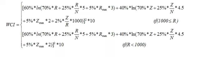
微信公众号综合影响力指数:WCI


WCI测算9.0版本


各参数含义如下:

R: 总阅读数(某账号当期所有文章阅读数总和);

Z:总点赞数(某账号当期所有文章点赞数总和);
N:某账号当期发布文章数;
Rmax:某账号当期最高阅读数;
Zmax:某账号当期最高点赞数;
R/N,Z/N:平均阅读数和平均点赞数;
Z/R:点赞率。


本文来源:赣南日报

友情链接